❤️ ×
各类单机,绅士游戏不断更新:https://www.acghua.com/
网站地址

4个品系软枣猕猴桃花期不同程度新梢摘心的效应

方琴,赵凤军,周文杰,秦嗣军

(1.沈阳农业大学园艺学院,辽宁沈阳 110866;2.辽东学院农学院)

软枣猕猴桃(Actinidiaarguta)又名软枣子、猕猴梨、藤枣等,属猕猴桃科猕猴桃属大型落叶藤本植物[1]。在中国主要分布在东北、华中、西北、西南等地区,俄罗斯的远东地区、朝鲜半岛及日本等国家和地区也有分布,以中国东北地区的资源最为丰富[2]。软枣猕猴桃是叶黄素和肌醇最好的水果来源[3],近年来作为功能性水果备受消费者的喜爱。辽宁省丹东地区气温、光照等自然条件适合软枣猕猴桃的生长发育[4],近年来栽培面积迅速扩大,主栽品种(品系)有魁绿、丰绿、长江1号、桓优1号、LD133、龙成二号等[5]。

修剪是软枣猕猴桃管理的关键技术之一,摘心是夏季修剪的常用方法[6,7],可以改善树体通风透光条件,改变树体营养分配,调控花芽分化及果实的生长发育。笔者对4个品系软枣猕猴桃于花期,进行了新梢不同程度的摘心处理,研究摘心梢的萌芽率、花芽分化、结果枝形成的效果。为相关研究及生产实践提供参考。

1 试验材料与方法1.1 试验地概况

试验于2018年6月至2019年5月在瀚林蓝莓科技有限公司果树基地进行,基地位于辽宁省丹东市振安区汤山城镇汤山城村。地处北纬40°10′55″~40°23′42″,东经124°05′02″~124°21′30″。年平均温度8.5℃,最冷月平均-10.5℃,全年日照2544.4小时,≥10℃的有效积温3000℃,无霜期170天,年均降水量1028.4mm。该区东西两侧为丘陵山林腐植土,有机质含量高,适宜苗木、花卉和果蔬种植,是较理想的特色农业基地。

1.2 试验材料

试验以LD107、LD133、LD243、LD1214 4个软枣猕猴桃优系为试材,其中LD107是桓仁满族自治县山区综合开发办公室于2005年从桓仁县桓仁镇三道河村迟德祥软枣猕猴桃园内发现,其余3个品系分别由丹东市北林农业研究所、辽东学院小浆果研究所收集的野生资源,均于2014年定植在瀚林蓝莓科技有限公司果树基地,株行距2m×4m。

1.3 试验设计与方法

2018年开花前后,在试验园内选取生长健壮、长势一致的4个品系植株进行花期新梢不同程度的摘心处理,每个品系5株树,每株树分别随机选择长势相近的新梢进行处理。设7个摘心处理:分别是处理A-营养枝留30cm摘心、B-营养枝留50cm摘心、C-营养枝缓放、D-结果枝留3片叶摘心、E-结果枝留5片叶摘心、F-结果枝留7片叶摘心、G-结果枝缓放,每个处理10个新梢。

2018年11月10日测量每个摘心处理枝的增粗情况;2019年5月6日调查计算所摘心处理枝的萌芽率、所形成的营养枝率、结果枝率。

萌芽率(%)=萌芽数/总芽数×100;

结果枝率(%)=结果枝数/总萌芽数×100;

营养枝率(%)=1-结果枝率;

试验数据应用Excel 2010和Origin软件进行差异显着性分析及做图等。

2 结果与分析2.1 4个品系软枣猕猴桃花期新梢不同摘心对增粗的影响

由图1、图2可知,LD107以营养枝缓放和结果枝留7叶摘心处理增粗效果好,但与其他处理间无显着差异;LD133以营养梢留30cm和结果梢留3叶摘心处理增粗效果好,但与其他处理差异不显着;D243以营养枝留50cm和结果枝留7叶摘心处理增粗效果好,但与其他处理无显着差异;LD1214以营养枝和结果枝均缓放处理增粗效果好。营养枝缓放处理与营养枝留30cm摘心处理、结果枝缓放处理与结果枝留3叶摘心处理间均差异显着,与其他处理间无显着性差异。

图1 4个品系猕猴桃花期营养梢不同摘心后的增粗效果

图2 4个品系猕猴桃花期结果梢不同摘心后的增粗效果

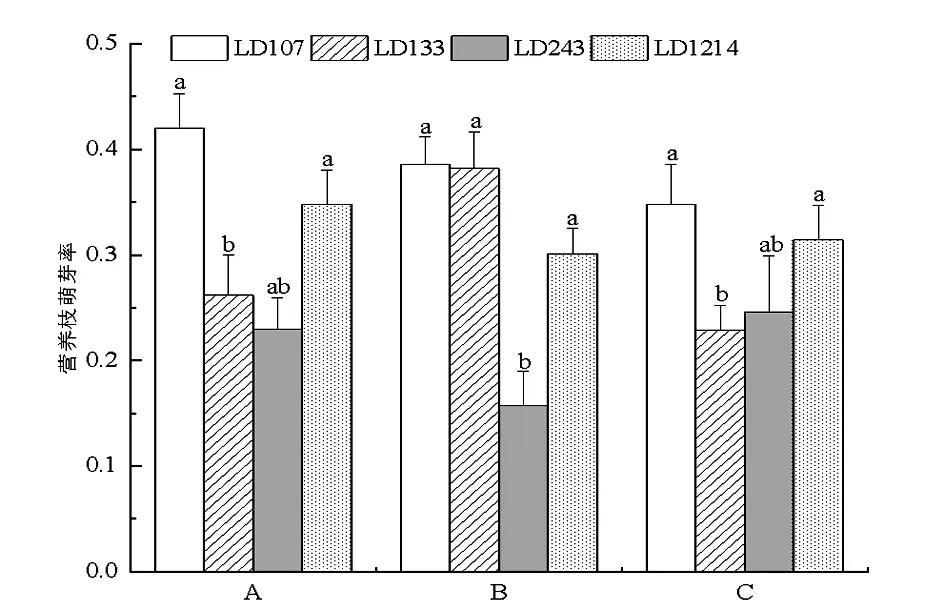
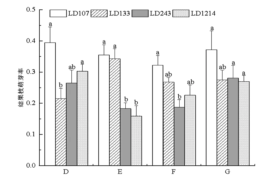
2.2 4个品系软枣猕猴桃花期新梢不同摘心对翌年萌芽率的影响

图3、图4表明,LD107和LD1214均以营养枝留30cm,结果枝留3叶摘心时,翌年萌芽率较高,分别为42.0%、39.5%、34.8%、30.3%;LD133营养梢留50cm,结果梢留5叶摘心时,萌芽率高,分别为38.2%、34.3%,营养梢留50cm摘心与留30cm摘心及缓放处理间差异显着,结果梢留5叶摘心与留3叶摘心间差异显着,二者与结果梢留7叶摘心及缓放处理间差异不显着;LD243营养梢和结果梢均在缓放处理下萌芽率较高,分别为24.6%、28.1%。结果梢缓放处理与结果梢留5叶摘心处理间差异显着。可见,结果部位以上留少量叶摘心、营养枝留较长长度摘心,有利于养分的集中供给,提高枝条的萌芽率。

图3 4个品系猕猴桃花期营养梢不同摘心后的萌芽率

图4 4个品系猕猴桃花期结果梢不同摘心后的萌芽率

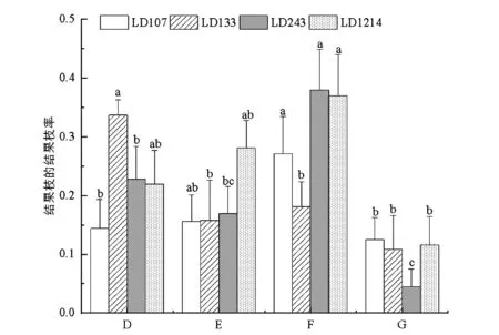
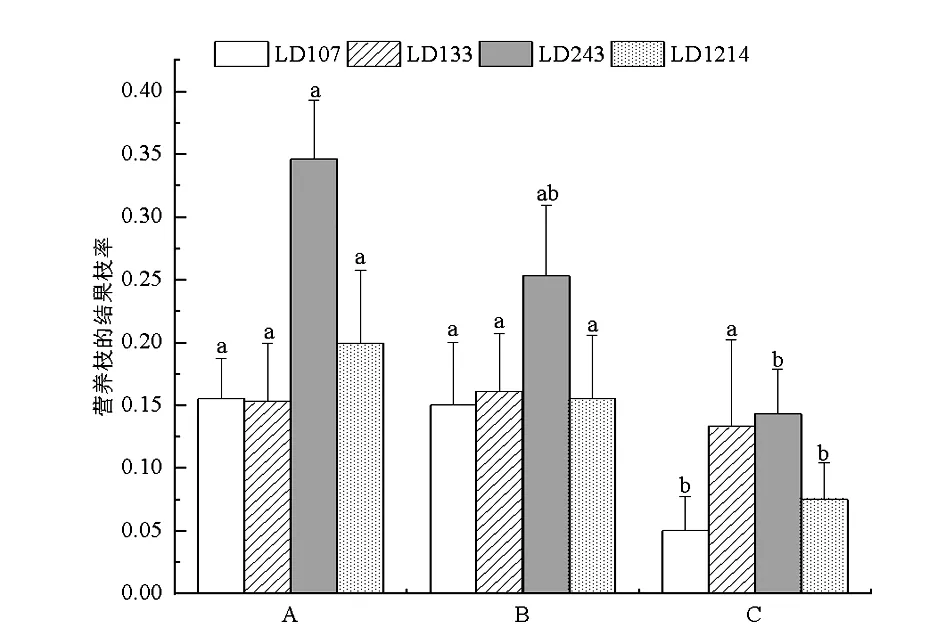
2.3 4个品系软枣猕猴桃花期新梢不同摘心对所发结果枝率的影响

由图5、图6可知,LD107、LD243、LD1214品系均为营养梢留30cm摘心,结果梢留7叶摘心时,翌年所发枝的结果枝率较高,分别为15.5%、27.1%,34.6%、38.0%,19.9%、37.0%。LD107营养梢留30cm摘心与缓放处理间差异显着,结果枝留7叶、留3叶摘心及缓放处理间差异显着;LD133营养梢留50cm摘心,结果枝留3叶摘心时,翌年所发枝的结果枝率较高,分别为16.1%、33.7%,营养梢留50cm摘心与其他处理间差异不显着,结果枝留3叶摘心与其他处理差异显着。LD243营养梢留30cm摘心与缓放处理间差异显着,结果梢留7叶、留3叶摘心及缓放处理间差异显着;LD1214营养梢留30cm摘心与缓放处理间差异显着;结果梢留7叶摘心与结果梢其他处理间均差异显着。可见,4个品系均是新梢摘心处理有利于提高其所发枝的结果枝率,使其丰产。

图5 4个品系猕猴桃花期营养梢不同摘心后所发结果枝率

图6 4个品系猕猴桃花期结果梢不同摘心所发结果枝率

2.4 4个品系软枣猕猴桃花期新梢不同摘心对所发营养枝率的影响

图7、图8表明,营养梢处理后所发营养枝率,LD107、LD133、LD243、LD1214品系均以缓放处理的为高,除LD243缓放处理与整形处理的差异显着外,其他各处理间无明显差异。

图8 不同夏季修剪措施对4个软枣猕猴桃品系结果枝的营养枝率的影响

图7 不同夏季修剪措施对4个软枣猕猴桃品系枝条营养枝的营养枝率的影响

结果梢处理后所发营养枝率,LD107以留3叶摘心、缓放处理的为高,与留7叶摘心间差异显着;LD133以缓放处理的最高,与3叶摘心的差异显着,与其他处理间无显着差异;LD243以缓放处理的最高,与其他处理间差异显着;LD1214以缓放处理的最高,与其他处理间差异显着。可见,LD243营养梢、结果梢对不同处理反应较敏感,LD107、LD133和LD24结果梢对不同处理反应敏感。

3 小结与讨论

夏季摘心既能保证当年果实生长,也有利于第二年开花结果[8]。秦美猕猴桃对强旺结果枝结果部位上留10叶轻摘心有利于结果[9]。本研究中,对LD107等4个品系软枣猕猴桃进行花期新梢摘心可以抑制顶端优势,控制生长,减少养分消耗,对提高萌芽率、提高形成的结果枝率有促进作用。但对形成的营养枝率无显着影响。相同的摘心处理的效应在不同品系间存在差异,4个品系中,除LD133外,都是营养梢留30cm摘心,强壮结果梢结果部位以上留7叶摘心,对提高翌年结果枝率效果最好。LD133品系营养梢留50cm摘心、结果梢留3叶摘心有利于形成结果枝。对华优品种进行夏季枝蔓修剪试验发现,摘心易轻不宜重,重摘心会发生大量二次枝,芽发育不良,不能形成花芽,导致结果枝的结果能力降低[10]。本文的研究结果与此一致,除了LD133外,其余3个品系结果梢均不适于留3叶重摘心。LD133叶片较大,枝梢生长强旺,即使留3叶摘心处理也可形成大量结果枝。

生产上,营养梢留30cm摘心,结果梢留7叶摘心有利于LD243等软枣猕猴桃形成结果枝,营养枝留50cm、结果枝留3叶处理,有利于形成结果枝。在生产上,营养枝留30cm,结果枝留7叶处理的摘心技术有利于LD1214等4个所试验品系形成结果枝,可作为持续丰产栽培的参考。

相关阅读